-
반응형
1. 성능의 정의
일반적으로 단위 시간동안 더 많은 작업을 처리하는 컴퓨터가 성능이 더 좋다고 할 수 있다.
성능 = 1 / CPU 실행시간
컴퓨터 M1과 M2가 있다고 가정할 때,..
M2는 M1보다 성능이 n배 좋다
M1에 대한 M2의 성능 비율 = n = M2의 성능/M1의 성능
2. 암달의 법칙 :
- 병렬화에 의한 시스템 성능 향상의 한계를 지적.
- 시스템의 일부 기능을 아무리 향상하더라도 성능이 향상되지 않은 부분에 의해 전체 시스템의 성능이 제한된다.

따라서 M1에 비해 M2의 시스템 전체 속도 향상 s는

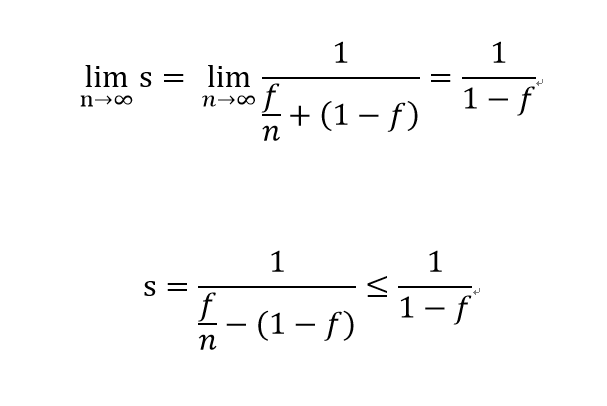
여기서 개선될 수 있는 부분에 대해 무한정으로 병렬화를 하거나 하드웨어를 무한정으로 투자한다면 시스템의 전체 속도 향상은 다음과 같다.

시스템의 일부를 아무리 개선해도 개선되지 않은 부분의 역수인 1/(1-f) 보다 더 큰 성능 향상은 불가능하다.
반응형'OS' 카테고리의 다른 글
6_1 동기화 (0) 2021.05.15 Process (0) 2021.03.30 OS week5 (0) 2021.03.30 컴퓨터 시스템 개요 (0) 2021.03.18